42 refer to the diagram. if actual production and consumption occur at q1,
Refer to the diagram if actual production and consumption occur at q1. Refer to the above diagram. Consumer surplus is maximized. 16000 and 28000 respectively. 28000 and 12000 respectively. Economics archive november 13 2016 refer to the diagram. Assuming the equilibrium output is q2 we can conclude that the existence of external. August 4, 2021 by quizs. Refer to the diagram. If actual production and consumption occur at Q1, Refer to the diagram. If actual production and consumption occur at Q1, A) efficiency is achieved. B) consumer surplus is maximized. C) an efficiency loss (or deadweight loss) of b + d occurs. D) an efficiency loss (or deadweight loss) of e + d occurs.
If actual production and consumption occur at Q1, Refer to the diagram. If actual production and consumption occur at Ol Multiple Choice efficiency is achieved. consumer surplus la maximized, an efficiency loss for deadweight loss of b+ doccurs. an efficiency loss for deadweight loss of; Question: S 1 a b e Price P1 с d f 1 D 0 Q1 Q3 Q2 ...

Refer to the diagram. if actual production and consumption occur at q1,
Refer to the data. An efficiency loss or deadweight loss of e f occurs. If actual production and consumption occur at q3. Cmore likely to occur in monopolistic firms than in competitive firms. The minimum acceptable price to the seller tony was 140. An efficiency loss of e f occurs. Consumer surplus is maximized. If actual production and consumption were to occur at q1. An efficiency loss or deadweight loss of b d occurs. 16000 and 28000 respectively. Refer to the data. Refer to the above diagram. Home economics archive november 13 2016 refer to the diagram. For plan d marginal costs and marginal benefits are. Assuming the market equilibrium output is ... Refer to the diagram. If actual production and consumption occur at q1. A efficiency is achieved. When negative externalities exist in a market. An efficiency loss or deadweight loss of b d occurs. D an efficiency loss or deadweight loss of e d occurs. Curve st embodies all costs including externalities and dt embodies all benefits including ...
Refer to the diagram. if actual production and consumption occur at q1,. Refer to the above diagram. If actual production and consumption occur at q3. If actual production and consumption occur at q1. An efficiency loss or deadweight loss of e f occurs. Consumer surplus will be maximized and producer surplus will be minimized. With resolution 1987px x 1836px. Consumer surplus is maximized. Refer to the diagram. If actual production and consumption occur at Q1: A. efficiency is achieved. B. consumer surplus is maximized. C. an efficiency loss (or deadweight loss) of b + d occurs. D. an efficiency loss (or deadweight loss) of e + d occurs. If actual production and consumption occur at Q1: an efficiency loss (or deadweight loss) of b +d occurs. refer to the diagram. If actual production and consumption occur at Q2: efficiency is achieved. Refer to the diagram. If actual production and consumption occur at Q3: We review their content and use your feedback to keep the quality high. Option b. At Q2 efficiency is achieved as the equilibrium for a good or a servic …. View the full answer. Transcribed image text: a b CO 0 1 Quantity Refer to the diagram. If actual production and consumption occur at Q3,
Refer to the diagram. If actual production and consumption occur at q1. A efficiency is achieved. When negative externalities exist in a market. An efficiency loss or deadweight loss of b d occurs. D an efficiency loss or deadweight loss of e d occurs. Curve st embodies all costs including externalities and dt embodies all benefits including ... If actual production and consumption were to occur at q1. An efficiency loss or deadweight loss of b d occurs. 16000 and 28000 respectively. Refer to the data. Refer to the above diagram. Home economics archive november 13 2016 refer to the diagram. For plan d marginal costs and marginal benefits are. Assuming the market equilibrium output is ... Refer to the data. An efficiency loss or deadweight loss of e f occurs. If actual production and consumption occur at q3. Cmore likely to occur in monopolistic firms than in competitive firms. The minimum acceptable price to the seller tony was 140. An efficiency loss of e f occurs. Consumer surplus is maximized.

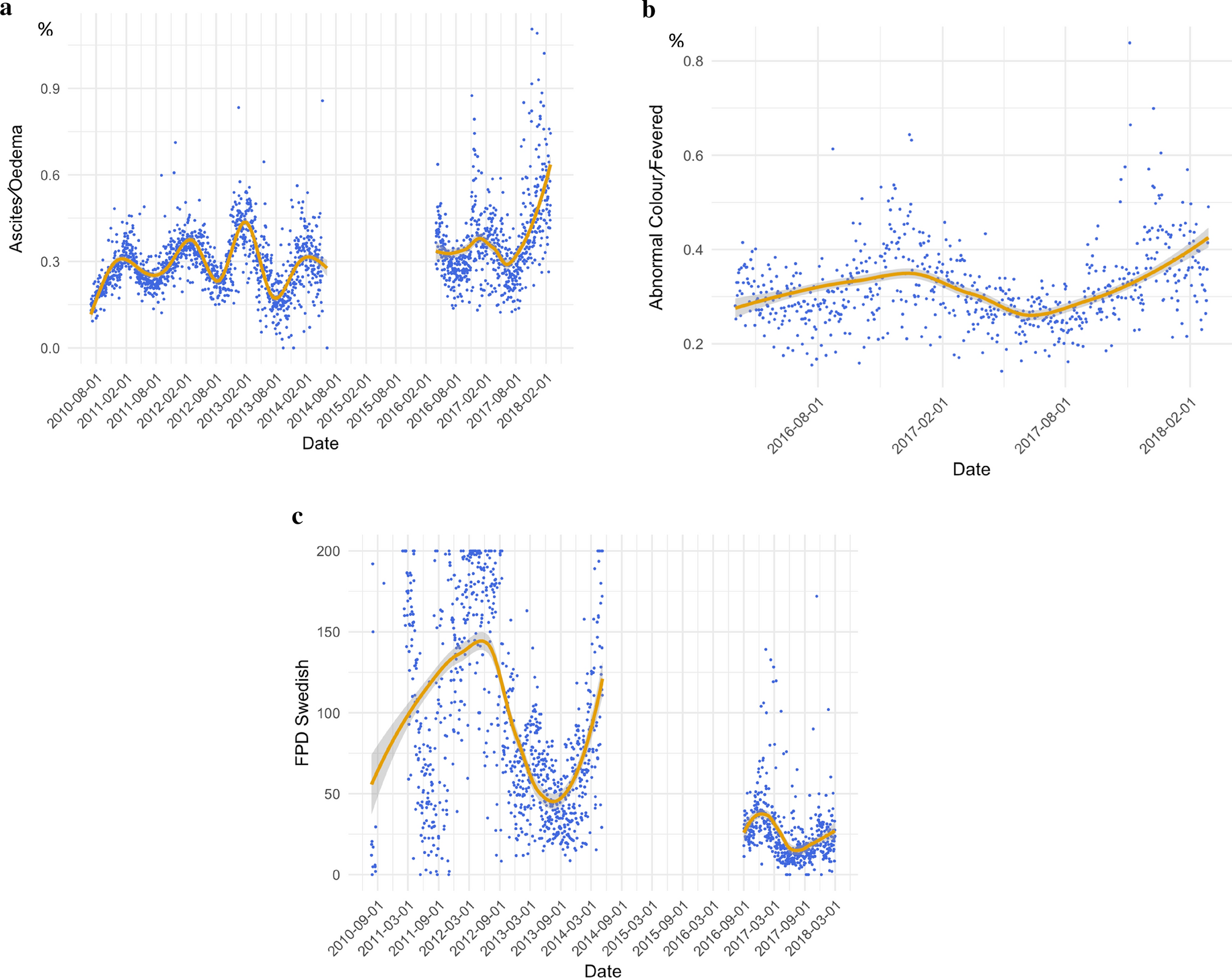
Longitudinal National Level Monitoring Of On Farm Broiler Welfare Identifies Consistently Poorly Performing Farms Scientific Reports

1 Sme And Entrepreneurship Performance In Times Of Covid 19 Oecd Sme And Entrepreneurship Outlook 2021 Oecd Ilibrary

Exploratory Study Of The Hoaxes Spread Via Whatsapp In Spain To Prevent And Or Cure Covid 19 Gaceta Sanitaria

2 Job Retention Schemes During The Covid 19 Crisis Promoting Job Retention While Supporting Job Creation Oecd Employment Outlook 2021 Navigating The Covid 19 Crisis And Recovery Oecd Ilibrary

Sustainability Free Full Text Challenging The Status Quo Through Social Influence Changes In Sustainable Consumption Through The Influence Of Social Networks Html

Tunisia Request For Purchase Under The Rapid Financing Instrument Press Release Staff Report And Statement By The Executive Director For Tunisia In Imf Staff Country Reports Volume 2020 Issue 103 2020

Vertical Integration Peaking Plant Commitments And The Role Of Credit Quality In Energy Only Markets Sciencedirect

Economies Free Full Text Impact Of Fiscal Policy On Consumption And Labor Supply Under A Time Varying Structural Var Model Html
0 Response to "42 refer to the diagram. if actual production and consumption occur at q1,"
Post a Comment